パターンマッチング - MapSweeper

従来の EBSD 解析では、ハフ変換などの画像変換により、各 EBSD パターンにおける Kikuchi バンドの位置を特定し、結晶相候補ごとの平面間角のルックアップテーブルと比較します。このパターン指数付けのプロセスは、ここで説明するように、高速かつ堅牢であり、毎秒5000パターンを超える指数付け速度で、優れた品質のデータを提供することができます。

しかし、近年、回折パターンシミュレーションや画像相関法の進歩を利用し、EBSD パターンの指数付けに代わる手法が開発されています。広義には「パターンマッチング」と呼ばれるこの新しい手法は、ここで紹介され、普及と機能性の向上が進んでいます。

EBSD 解析のツールとしてのパターンマッチングの開発は、当初、EBSD パターンシミュレーションの改善、特に、EBSP 中の Kikuchi バンドの位置だけでなくその強度も予測できる電子回折の力学的理論の有効活用によって推進されたものです。これにより、下の画像に示すように、実験に近いシミュレーションパターンを生成することができ、そこから実験的な EBSP と最適なシミュレーションをマッチングさせることが可能になりました。

Experimental EBSD pattern from SiO2 with corresponding simulations using different models

水晶(SiO2)鉱物からの EBSD パターン。左から右へ:典型的な実験的 EBSP、多ビーム動的シミュレーション、2 ビーム動的シミュレーション、運動学的シミュレーション。

画像の類似性の測定

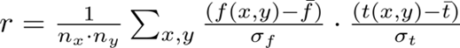
効果的なパターンマッチング手法の鍵は、2 つの画像(例えば、実験とシミュレーションの回折パターン)の類似度を測定する堅牢な方法です。これは、正規化された相互相関係数を使うのが最も良い方法です。正規化された相互相関係数は画像解析に広く用いられている手法であり、画像中の強度やコントラストの大きな変動(電子ビームやサンプル条件の違い、EBSD 検出器の露光量の違いなど)に対応できるため、EBSD に理想的な手法です。基本的な方程式は以下の通りですが、正規化により、平均バックグラウンド=0、各画素の平均標準偏差=1 が保証されます。

テンプレート t(x, y)と実験パターン f(x, y)をシミュレートし、x と y に n 画素を持つ場合の正規化された相互相関係数 r の計算式。f と t の平均と標準偏差をそれぞれ f ̅と t、σf と σt で示します。
テンプレート t(x, y)と実験パターン f(x, y)をシミュレートし、x と y に n 画素を持つ場合の正規化された相互相関係数 r の計算式。f と t の平均と標準偏差をそれぞれ f ̅と t、σf と σt で示します。

EBSD パターンマッチングでは、r の大きさのみを考慮するため、r = 0(画像間に相関がないことを示す)から r = 1(画像が同一であることを示す)の範囲の値を見ることができます。現実には、実験パターンのノイズのため、r 値が 0.8 を超えることはほとんどありません。どのような値が信頼できるマッチングとなるかは、パターンの品質や測定する情報によって大きく異なります。例えば、質の悪い EBSP(高度に変形した構造など)の指数付けをする場合、r > 0.15 のマッチングは正しい指数付けを示す可能性があります。一方、結晶の極性を決定したり、微妙な擬対称の関係を解決しようとする場合は、r > 0.5 のマッチングが必要となる可能性が高く、最適なソリューションは 2 番目に最適なソリューションよりも少なくとも 0.01 高い r 値を持っている必要があります。

AZtecCrystal MapSweeper のパターンマッチング

AZtecCrystal MapSweeper に実装されたパターンマッチング機能は、完全なイ指数付け、データ品質の向上、EBSD パターンからの新しい情報の抽出など、あらゆるタイプの EBSD データの拡張を可能にします。これらのツールは、完全な動的パターンシミュレーション(2 ビームや運動学的シミュレーションも使用可能)に基づき、パターン間の類似性を表す最も堅牢な指標として、正規化された相互相関係数を使用します。

以下のタブでは、AztecCrystal MapSweeper の異なる「スイープ」モードがどのように機能するか、また、様々な EBSD データセットの品質を向上させるためにどのように使用できるかを説明します。ギャラリーでは、この高度なソフトウエアのアプリケーションを使用したさまざまな事例を紹介しています。

AZtecCrystal MapSweeper は、指数付けに新しい手法である動的テンプレートマッチング(DTM)を使用します。DTM の原理は、ディクショナリーインデックス作成に用いられているものと似ていますが、いくつかの重要な違いがあります。

  • DTM では、測定点ごとにパターンテンプレートをその場で作成するため、ライブラリを作成する必要がありません。(ディクショナリー指数付けでは、結晶の対称性や求める角度の精度にもよりますが、候補となる結晶相ごとに 10 万から 1000 万以上のテンプレートを作成する必要があります)
  • テンプレートはオンザフライ(その場)で作成されるため、すべての点で正確なキャリブレーションパラメータを使用し、実験パターンとシミュレーションパターンの完全な相関性を確保することができます。これは、1 つのジオメトリキャリブレーションがテンプレートライブラリ全体に使用されるディクショナリー指数付けは当てはまりません。
  • DTM 指数付け法の動的な性質は、初期の低精度な方位(例:~2° の精度)が、最終的にはるかに高い精度(例:EBSP の品質に応じて 0.01° まで)を与えるためにすぐに改良できることを意味します。

DTM のプロセスを図式化すると次のようになります。最初のインデックス作成では、低分解能のテンプレートとビニングされた(低分解能の)オリジナル EBSP を使用し、その後、より高い EBSP/テンプレート分解能で精密化することにより、より精密な最終ソリューションが得られることに留意してください。

Workflow showing how EBSD pattern indexing using the dynamic template matching (DTM) method works

動的テンプレートマッチング(DTM)を用いた EBSD パターン指数付けの段階的なプロセス。複数の結晶相を持つデータセットの場合、このプロセスを各結晶相候補について行い、正規化された相互相関係数が最も高いソリューションを選択します。

DTM 指数付け手法は、利用可能な計算能力と候補結晶相の対称性に応じて、比較的高速に処理することができます。中レベルの GPU を搭載したワークステーションを使用した単一立方相データの解析では、典型的な指数付け速度は 25~200 パターン/秒の範囲となります。

パターンマッチング法による指数付けは通常必要ありません。ほとんどのサンプルでは、ハフベースの指数付けによって十分なデータ品質が得られるため、さらなる機能強化のみが必要です(いわゆる「ハイブリッドパターンマッチング」アプローチの詳細については、「リファイン」タブおよび「リペア」タブを参照してください)。しかし、高い欠陥密度やナノ結晶構造のために非常に低品質な EBSD パターンが得られるような一部のサンプルでは、ハフ変換ベースの手法を用いた指数付け率が許容できないほど低くなることがあります(例えば 50% 未満)。このような場合、DTM のような「総当たり」のインデックス作成手法が不可欠となり、データの品質を大幅に向上させることにつながります。

以下の動画は、AztecCrystal MapSweeper の DTM インデックス作成を用いて、ナノ結晶の MgB2 超伝導体を解析する様子を説明したものです。初期のハフベースのインデックス作成では 50% のみのインデックス作成率でしたが、DTM インデックス作成では 90% を超えて達成されました。

AZtecCrystal MapSweeper の DTM 指数付けを使用した、難易度の高い TKD サンプルの再解析を紹介するビデオです。

AZtecCrystal MapSweeper のパターン照合技術は、「ハイブリッド」方式が中心となっています。ハイブリッドパターンマッチングとは、標準的なハフベースの指数付けによって得られる、あらかじめ存在する方位と結晶相の情報を利用したパターンマッチング手法を指す言葉です。ディクショナリーや球面インデックス作成などの「総当り」手法と比較した場合のハイブリッド手法の利点は、解析がはるかに速く、通常、かなり質の高いデータを得られることです。MapSweeper では、リファインとリペアの両方のスイープでハイブリッド手法を使用しています。

ここでは、EBSD データセットの品質を向上させるために、MapSweeper でハイブリッドパターンマッチングを使用する方法について説明します。リファインスイープでは、MapSweeper が方位精度の向上、疑似似対称性の解消、結晶極性の解消、相分離の改善などを行うことができます。これらの解析目標については、以下のセクションで個別に検討します。

方位のリファイン

ハフ変換を用いた EBSD パターンの標準指数付けは、通常 0.1~0.5° の方位精度で行われます。正確性のリファインなどの高度な指数付け手法を使用することで、0.05° 未満の精度に向上させることができます。

しかし、ハイブリッドパターンマッチングの技術を用いれば、さらに ~0.01° 以下の精度に向上させることが可能です。これには複数の利点がありますが、主に、材料中の転位構造の形成(成長したままの状態、または変形によるもの)から生じる小さな方位変化の解析と解釈に役立ちます。

MapSweeper では、リファインプロセスは高速かつシンプルで、次の手順に従います。

  • ハフベース指数付けで測定した元の方位(および結晶相)に対応するシミュレーション EBSP を作成し、正規化された相互相関係数(R)を算出します
  • オリジナルとわずかに異なる方位のシミュレーション EBSP を作成し、新しい R 値を計算します
  • 最適化アプローチ(「ネルダー - ミード」アプローチなど)を用いて、R 値が最大となる方位を決定し、方位変化のステップを徐々に小さくします(その後の R 値の差が所定の閾値未満となるまで)

このプロセスでは、通常 100~200 個のシミュレーション EBSD パターンを生成してマッチングさせます。計算能力と EBSD パターンの分解能によりますが、1 ミリ秒未満で完了します。最終的な方位精度は EBSD パターンの品質に依存しますが、比較的低分解能またはノイズの多い EBSD パターンであっても、方位リファインプロセスはハフベースの指数付けと比較して大きな改善をもたらすことができます。

Animation illustrating the orientation optimisation of a simulated EBSD pattern to match an experimental pattern
フェライト鋼の EBSD パターンの方位の進行性リファインを示す画面キャプチャ。左 – 実験 EBSP。右 - 動的シミュレーションによる方位の最適化。この最適化により、正規化された相互相関係数は R=0.72 から R=0.79 に増加しました。

疑似対称性の補正

ここでは、疑似対称性の概念を紹介し、指数付けの誤りを防ぐ方法、あるいは系統的な誤りを除去する方法を概説しました。しかし、このような手法の分解能には限界があります。先に挙げた例(γTiAl)では、単位格子の c 長と a 長の差は 1.8% 程度です。c:a 比がより小さい場合、これらの従来の手法は効果的に機能しない場合があります。

このような場合、ハイブリッドパターンマッチングアプローチが有効で、十分な EBSP 品質があれば、単位セルの差 0.5% 未満まで疑似対称性の効果を解決することができます。MapSweeper が採用している方法は非常にシンプルです。

  • ハフベースの指数付けで測定した元の方位に対応するシミュレーション EBSP を作成し、正規化された相互相関係数(R)を算出します
  • ユーザー定義の疑対称関係を用いて、疑似対称的に等価な方位に対応するシミュレーションを作成し、新しい R 値を計算します
  • R 値が最も高いソリューションを採用します(全ソリューションの方位最適化の後)

また、疑似対称性の補正方法は、各疑似対称性のソリューションに対して最適な方位が計算されるように、方位リファインアプローチと組み合わされています。この方法の分解能は、EBSD パターンの品質とそれに対応する R 値に大きく依存します。ノイズのない良好な EBSD パターンでは、R 値 >0.7 で 0.5% 以下の単位セルのばらつきを解決できますが、ノイズの多いパターン(およびより小さい R 値)では、確実な結果を得るためには、単位セルの差を大きくすることが必要になります。CuInSe2 構造(正方晶だが立方晶からは 0.5% 程度)のシミュレーションパターンは、MapSweeper で検出可能な微妙な変化を示しています。

Animation showing 2 simulated EBSPs from a CuInSe2 crystal with 90° rotations, highlighting the crystal pseudosymmetry
CuInSe2 の 2 つの方位(90° 回転)を示す動的シミュレーションは、疑似対称性に伴う微妙なパターンの変化を強調しています。

反転対称性

一部の結晶構造は非中心対称なものです(つまり、反転中心がありません)。この反転対称性の欠如が、圧電効果など、材料の重要な特性に対応する場合もあります。反転対称性を欠く点群は極性またはキラルであり、構造の極性またはキラリティは EBSD パターンに小さいながらも測定可能な影響を与えます。

このパターンの変化は、標準的な(ハフベースの)インデックス作成手法では測定できないほど微妙なものですが、MapSweeper のハイブリッドパターンマッチング手法を使用すれば検出することが可能です。この方法は、前述の疑似対称性を解消する方法と非常に似ており、反転した構造だけでなく、反転していない構造にもパターンマッチング処理を適用しています。同様に、ZnO 結晶の例で示すように、材料の極性やキラリティを効果的に分解するためには、良質の EBSP が必要です。

Screengrab from MapSweeper showing the difference between an original and inverted simulation for a ZnO grain
ZnO EBSD パターンの正規化された相互相関係数に対する反転の効果を示すアニメーション(MapSweeper インターフェースより)。左 - 実験パターン。中央 - シミュレーションパターン、非反転構造から反転構造への切り替え。右 - 実験パターンとシミュレーションパターンの違い。反転構造で R 値が高くなっていることに注意してください。

結晶相識別

非常によく似た結晶構造を持つ複数の結晶相を含む材料では、従来の EBSD では正しいソリューションと不正確なソリューションを区別するのに苦労することがあります。ここでは、EDS による元素情報の利用や、パターン中の Kikuchi バンドの幅など、結晶相の分離のための別の手法を紹介しています。

しかし、MapSweeper はハイブリッドパターンマッチングの手法を取り入れることで、非常に近い構造を持つ結晶相間でもより堅牢な結晶相識別を可能にしています。

しかし、MapSweeper はハイブリッドパターンマッチングの手法を取り入れることで、非常に近い構造を持つ結晶相間でもより堅牢な結晶相識別を可能にしています。

  • ユーザーは類似した結晶相の「グループ」を作成します
  • オリジナルのインデックス作成でグループ化された結晶相の 1 つが特定されると、MapSweeper はグループ内の全結晶相のシミュレーションに対してパターンマッチングを実行します
  • 相互相関係数 R が最も高い結晶相(およびリファイン方位)を選択することになります

この手法では、グループ化された結晶相の 1 つとして指数付けされた点は、グループ内のすべての結晶相を用いて「スイープ」する必要があるため、解析速度が低下しますが、低分解能や比較的ノイズの多い EBSD パターンを用いても、結晶相を分離するのに非常に効果的です。この結果は、結晶相分離と方位リファインがどのように作用し、変形した Ni 超合金サンプルのデータセットを向上させたかを示すビデオで確認することができます。

Ni 超合金中の小さな立方晶 Ti2CN 析出物を含むデータセットの MapSweeper リファインの様子を示したビデオ。MapSweeper を用いて 2 つの結晶相をグループ化することで、従来のハフベースのインデックス作成では不可能だった堅牢な結晶相分離を実現し、方位精度を向上させました。

ここでは、既存の EBSD データセットをリペアするために、AZtecCrystal MapSweeper でハイブリッドパターンマッチングがどのように使用されているかを説明します。リペアスイープでは、MapSweeper が元の解析で生じた指数付けの誤りを修正し、元々解決されていない画素を繰り返し指数付けすることができます。リペアスイープは通常リファインスイープと一緒に動作しますが(リファインスイープの手順で定義されたパターンとシミュレーション分解能を使用します)、単独で使用することもできます(例えば、インデックス化されていない EBSP のみが保存されているデータセットで使用します)。

リペアスイープで選択できる操作は、以下の 2 つです。

インデックス化されていないパターン

ハフベースの指数付けでは、データセット内の 100% の点にインデックスを付けることはほとんどありません。一般に、粒界で収集したパターンが重なると、指数付けされないことがあります(Kikuchi バンドがどちらの方位からも構造に一致しないため)。また、EBSD パターンの品質が低すぎて、ハフ変換によるバンド検出が信頼できない領域や結晶粒もあります。これは、高度に変形したサンプルやナノ結晶材料(透過 Kikuchi 散乱(TKD)を用いて解析したものなど)によく見られる現象です。

MapSweeper のリペアスイープは、以下のように、隣接するインデックス化された点の方位と結晶相の情報を利用して、インデックス化されていない点を解決します。

Workflow for the iterative indexing of non-indexed points in an EBSD dataset using the Repair Sweep in MapSweeper
  1. 粒界(赤と青の粒の間)に沿った指数付けされていない画素(白)を示す方位のグリッド例
  2. 各指数付けされていないポイントからの EBSP(ユーザー定義のパターン品質閾値以上)は、隣接する(指数付けされた)方位/結晶相に対応するシミュレーション EBSP(黒線)と比較されます。最も高い相互相関係数(R)を見つけるために、マッチングをリファインします
  3. R が閾値を超えた場合、新しいリファインされたソリューションが受け入れられ、次の指数付けされていない画素について処理が繰り返されます
  4. このプロセスは、隣接するソリューションを持つ、指数付けされていないすべての画素の解析が終了するまで続けられます。隣接ソリューションがない、指数付けされていない画素のみが残ります
  5. その後の繰り返しにより、残りのインデックス化されていない画素を解析することができます

これは隣接する測定値の重複ではなく、アルゴリズムはそれらの隣接する測定値を最初のシミュレーション EBSP の開始点としてのみ使用することに注意してください。ソリューションは、リファインの結果、十分に高い R 値が得られる場合にのみ受け入れられ、誤った指数付けが行われないようにします。

ゼロソリューション画素を「再指数付け」するこのハイブリッド手法は、完全な「総当り」インデックス手法(DTM やディクショナリー/球面インデックス作成など)を用いるよりもはるかに速く、高い角度の精度で非常に同等の最終結果を得ることができるのです。唯一の要件は、最初の指数付け率が十分に高く、指数付けされていない画素の大きな領域(全粒粉など)を回避できることです。

孤立した画素クラスター

ハフベースの指数付けでは、個々の EBSD パターンや隣接する数点のクラスターからのパターンが正しく指数付けされないことがあります。これは、局所的に質の悪いパターンが存在する場合や、サンプルに存在する結晶相の特定の結晶学的性質が原因である場合があります。通常、このような「ワイルドスパイク」や小さなクラスターは、解析後のクリーンアップでデータセットから削除され、隣接する測定値の重複に置き換えられます。

MapSweeper のリペアスイープでは、これらの孤立したクラスター(最大 5 画素サイズ)は、以下のように、その最初の測定(不正確である可能性がある)および隣接する測定から得られるシミュレーションと照合されます。

Workflow for the iterative removal / validation of pixel clusters in an EBSD dataset using the Repair Sweep in MapSweeper
  1. 異なる方位(ピンクと緑)の孤立した画素クラスターを備えた 2 つの粒子(赤と青)を示すグリッドの例
  2. 各画素の EBSP は、その初期方位/結晶相と周囲の画素のそれを用いて生成されたシミュレーションと照合されます。最も高い相互相関係数(R)を見つけるために、マッチングをリファインします
  3. 最も高い R を持つ結晶相と方位がそのポイントに割り当てられます。この場合、緑の画素はエラーとして識別され、周囲の赤の画素のソリューションに近いリファインソリューションに置き換えられます。次に、次のクラスター画素を解析します
  4. このプロセスは、すべてのクラスター画素の解析が終了するまで続けられます。いくつかは置き換えられますが、ここに示す 3 つのピンク色の画素のように、正しいものとして検証されるものもあります(この場合、粒界の小さな粒子です)

クラスター画素の除去(または検証)と、最初に指数付けされなかったパターンの再指数付けの組み合わせにより、リペアスイープは EBSD データセットを強化するための非常に有効なツールとなっています。このプロセスは高速で、各測定点について完全にリファインされた方位データを得ることができます。次の例は、リファインスイープとリペアスイープを使用することで、DTM 指数付け方法と基本的に同じ情報を、わずかな時間で作成することができることを示しています。

3 TKD orientation maps from a nanocrystalline Ni sample showing the benefit of using the Repair Sweep in MapSweeper
MapSweeper によるリペアスイープの効果を示す、ナノ結晶 Ni サンプルの TKD データセット例。(a) オリジナルのハフベース指数付け(80% インデックス作成)。(b) 動的テンプレートマッチング法による再指数付けの結果(99.9% 指数付け、再解析時間 13 分)。(c) リファインスイープと 2 パスリペアスイープの結果(99.9% リペア、再解析時間 90 秒)。
隕石衝突で形成された高度に変形したナノ構造ダイヤモンドサンプルの方位マップ。元のデータは、透過 Kikuchi 回折を用い、指数付け率 51% で収集されました。このデータを MapSweeper の動的テンプレートマッチングで処理したところ、98% のヒット率を得ることができました。サンプル提供:Sandra Piazolo教授、リーズ大学、英国。
フェライト鋼基板上の酸化スケールの結晶相マップ。ハフベースの指数付けで収集した元のデータでは、立方晶の FeO(ライラック)と Fe3O4(緑)結晶相の間で指数付けに大きな誤差があることが分かります。その後、MapSweeper のリファインスイープを使ってデータを再処理したところ、ほぼ完璧な結晶相分離が得られました。サンプル提供:Onur Meydan、トルコ。
太陽電池に使用される CuInSe2 薄膜の方位マップ。CuInSe2 は正方晶構造で、c:a 比が 2.010 なので、2 つの立方体の単位セルとは ~0.5% の違いがあることになります。この擬対称により、標準的なハフベースのインデックス作成で解析した場合、多くの指数付けの誤りが発生しました。MapSweeper のリファインスイープを使用してデータを再処理したところ、疑似対称性が解消され、正しい方位と正確な粒界の測定が可能になりました。サンプル提供:Daniel Abou-Ras博士、Helmholtz-Zentrum Berlin für Materialien und Energie GmbH、ドイツ。
ZnO バリスタサンプルから取得した方位マップ。元のデータでは、個々の粒子の中に構造がないことが分かります。このデータは MapSweeper で再処理され、ZnO の非心対称性がリファインスイープでテストされました。最終的には、ほとんどの粒子に反転ドメイン粒界が存在し、ZnO の極性の変化が強調されていることが分かりました。サンプルおよびデータ提供:Grzegorz Cios博士、AGH University of Science and Technology、ポーランド、クラクフ。
断層岩サンプルの結晶相とGrain Reference Orientation Deviation(GROD)マップ。指数付けヒット率は 76% で、特に細粒の部分(主にクリノゾイサイト-青、斜長石-赤、角閃石-緑)で指数付けがうまくいきませんでした。MapSweeper のリファインスイープとリペアスイープを使用してデータを再処理したところ、指数付け率が向上し(87%)、大きなクリノゾイサイト粒子からの GROD マップに示されるように、角度の精度が大幅に改善されました。
GaN 薄膜の WBV(荷重バーガースベクトル)マグニチュードマップ、個々の貫通転位を示します。元データは正確性のリファイン指数付けで収集されていますが、それでも転位は明確に解像されていません(3 x 3 画素の WBV 積分ループを使用)。このデータは MapSweeper のリファインスイープを使用して再処理されました。角度の精度の向上(~0.01°)により、貫通転位を明確に分離し(同一の WBV パラメータを使用)、転位の種類を検討することが可能になりました。
高度に変形した Ti サンプルの方位マップ。オリジナルのハフ指数付けでは、79% の指数付け率でした。MapSweeper のリファインスイープとリペアスイープを使用してデータを再処理した結果、最終的なヒット率は 99% となり、すべての測定点においてデータの質が大幅に改善されました。

さらに詳しく